一、 subgraph 语法
子图的使用方法:
|
1 2 3 |
subgraph cluster* { // xxxx } |
子图的语法和其他语法也是一样的,一个千万要注意的地方是子图的命名必须以 cluster 开头。
例如:
|
1 2 3 4 5 6 7 8 9 10 11 12 13 |
digraph { subgraph cluster_0 { label="Subgraph A"; a -> c; b -> c; } subgraph cluster_1 { label="Subgraph B"; a -> f; f -> c; } } |
效果:

二、把箭头指向容器的办法
如果希望把箭头容器,而不是指向容器内部元素的话,需要使用以下两个属性:
|
1 2 3 |
compound=true; // a 和 b 分别表示箭头的头部和尾部 xx -> yy [lhead=a ltail=b] |
要注意的是 compound=true 属性一定需要,它是全局代码段的。
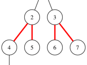
例如修改上图中的 a 到 f 的线条为 a 到子容器 B:
|
1 2 3 4 5 6 7 8 9 10 11 12 13 14 |
digraph demo { compound=true; subgraph cluster_0 { label="Subgraph A"; a -> c; } subgraph cluster_1 { label="Subgraph B"; f -> c; } a -> f [lhead=cluster_1]; } |
效果:











评论